\( \require{cancel} \)
earth
湘南理工学舎
[戻る]   
2020:04:12

 楽しく学ぶ…初歩の数学

  

  数列の和(1)

(sequence sum)

 --目 次--
等差数列の和
等比数列の和

等差数列の和 (sum of arithmetric progression)
以下の共通事項
\(k\ ,n\ :\) 0 を含めた自然数。
\(c\ : \) 定数。

簡単な数列として初項:1、交差:1の等差数列を考えます。
 \(1,2,…,(n-1),n,…\)

第 n 項の 部分和 は:
 \( 1+2+…+(n-1)+n=\color{red}{S_n} \)

上記の∑表記では:\(\ \displaystyle \sum_{ k = 1 }^{ n } k = \color{red}{S_n} \) 

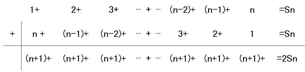
順序を替えた 2 つの部分和 \(\ \color{red}{S_n} \ \)の足し算が下図です:
tousa
3段目が足し算の合計\(\ 2 S_n\)、またその合計は \((n+1)\) が\(n\) 個あります。
よって\(2 S_n = n(n+1)\) です。

\( \therefore S_n=\frac{1}{2}n(n+1)= \displaystyle \sum_{ k = 1 }^{ n } k \quad (1) \)
(初項 a=1の場合)

 次に上式の一般式を作ります。
(注意:一般項ではありませんよ!)
すなわち初項\(a\)、交差\(d\)の数列\( \{ a_n \} \)の第 n 部分和\(S_n\)は:
等差数列の一般項は前講義より
前講義を参照
\( \ a_n=a+(n-1)d \) ①
\(\rightarrow \ a_k=a+(k-1)d \) ①'

これを使い以下のようにして一般式が求まる。
\( S_n=\displaystyle \sum_{ k = 1 }^{ n } a_k\) \(= \displaystyle \sum_{ k = 1 }^{ n }\underline{(a+(k-1)d)} \)
 \( = \displaystyle \sum_{ k = 1 }^{ n } a + d \displaystyle \color{fuchsia}{ \sum_{ k = 1 }^{ n } (k-1) }\)
 \( = na + d \color{fuchsia}{\frac{1}{2}(n-1)n } \) (※1)

 \( = \underline{ \frac{n}{2} \{ (2a+d(n-1)\} } \quad (2) \)

注:(※1):前講義の公式(4)から
(4)\(\ \displaystyle \sum_{k = 1}^{n} k = \frac{1}{2}n(n+1) \)
この k=k-1 、n=n-1 を代入すると:
\(\therefore \color{fuchsia}{ \sum (k-1)= \frac{1}{2}(n-1)n }\)

【参考】一般式の別導出 
tousa
上図から:

\( S_n=\frac{n}{2}(a+a_n) \)

また、 \(a_n=a+(n-1)d \) ①より

\( \therefore \ S_n= \frac{n}{2} \{ (2a+d(n-1)) \} \)

上記の式(2)と同じになった。
 例 題 
(1) 初項10、交差3の交差数列の項数6までの和をもとめよ。  

 \(S_n =\frac{n}{2} \left( (2a+d(n-1)\right) \)

 \(  =\frac{6}{2} \left( (2\cdot 10+3(6-1) \right)=105\)

等比数列の和 (sum of geometric progression)
初項\(a_1\) :1、公比 \(r\) の等比数列を考えます。
等比数列の一般項は
\( a_n= ar^{n-1}\) ②

まず、下式が成り立ちます。:
 \(1+r+r^2+\cdots +r^{n-2}+r^{n-1}\) \(=\displaystyle \sum_{k = 1}^{n} r^{k-1} \) \(=S_n\)
\(S_n=\displaystyle \sum_{k = 1}^{n} r^{k-1} \)

次に以下の図を説明すると:
 1段:等比数列 \( a_k= r^{k-1}\) (\( a_1=1 \)) の部分和。

 2段:等比数列\( a_k= r^{k-1}\)の r 倍の部分和。

 3段:\(1段-2段= S_n-rS_n=(1-r)S_n \)

touhi
図から分るように(初項\(a_1= 1\)の部分和):
\( 1-r^2=(1-r)S_n \) 
\(\therefore S_n= \displaystyle \sum_{k = 1}^{n} r^{k-1}=\frac{1-r^n}{1-r} \quad (3)\) 
(a=1の場合)

次に上式の一般式を作ります。
等比数列の一般項は
\( a_n= ar^{n-1}\) ②
\( \rightarrow a_k= ar^{k-1}\) ②'

これを使い以下のようにして一般式が求まる。
初項\(a\)、公比\(r\)の等比数列\( \{ a_n \} \)の第n部分和\(S_n\):
\( S_n = \displaystyle \sum_{k = 1}^{n} a_k= \displaystyle \sum_{k = 1}^{n}a r^{k-1} \)

\( =a \displaystyle \sum_{k = 1}^{n} r^{k-1} =a\frac{1-r^n}{1-r} \)

\( (r \neq 1) \)

\( \underline{ S_n =a \displaystyle \sum_{k = 1}^{n} r^{k-1} =a\frac{1-r^n}{1-r} \quad (4) }\)

注:上式の条件は \((r \neq 1) \)です。
\( r=1\)の時は:

\(  S_n = \overbrace{ a+a+a \cdots + a }^{ n個 } \)

より \( S_n= n a \) となります。

 例 題 
(1) 初項3、交比2の等比数列の項数8までの和を求めよ。  

\(\displaystyle S_6=\sum_{k = 1}^{8} a_k= \displaystyle \sum_{k = 1}^{8} 3 \cdot 2^{k-1}\) \( = 3 \cdot \frac{1-2^8}{1-2} =765\)

確認:
\(3+6+12+24+48+96+192+384\)\(=765\)

coffe

[コーヒーブレイク/閑話]…お疲れさまでした