earth
湘南理工学舎
[戻る]   
2021/10/13
  
2021/06/27

 楽しく学ぶ…初歩の数学

 三角関数の諸公式

(trigonometric function)

 --目 次--
正弦定理(law of sines)
余弦定理(law of cosines)
加法定理(additional therorem)
倍角・半角などの公式
「積→和」「和→積」の公式
その他の公式
その他の性質
覚えるべき三角比
オイラーの公式から加法定理
 
1. 正弦定理(law of sines)
外接円の直径は頂点の角度とそれの対辺の長さから求められる。
三角形A B C とその対辺の長さを a b c とします。

\(\underline{ \frac{a}{sin\ A}=\frac{b}{sin\ B}=\frac{c}{sin\ C}} \) \(= 2 R \)

・R:三角形ABCの外接円の半径

triangle

 
・導出のヒント:
 三角形の面積S= \( (1/2) (sinA)\ b\ c \)\(=(1/2) (sinB)\ a\ c \) \(=(1/2) (sinC)\ a\ b \) 
 \( (sinA)\ b\ c \)\(=(sinB)\ a\ c \) \(=(sinC)\ a\ b \) 

 上式を\(a\ b\ c\ \)で割る。

 \( \frac{(sinA)}{a}\)\(=\frac{(sinB)}{b}\)\(=\frac{(sinC)}{c}\) 

公式はこの逆数です。
・覚え方:
\( \frac{辺の長さ a} { 対角のsin A}=\) 外接円の直径

・外接円:各辺の垂直2等分線は1点で交わり、その点を中心に、3点を通る円。

2. 余弦定理(law of cosines)
2辺の長さとそのはさむ角度から他の辺の長さが求められる。
\(a^2=b^2+c^2-2bc(cos\ A) \)

\(b^2=a^2+c^2-2ac(cos\ B) \)

\(c^2=a^2+b^2-2ab(cos\ C) \)



3. 加法定理(additional therorem)
基本は以下の3式です。(学生(受験のかた)は暗記すべきですね)
加法定理から2倍角、半角、3倍角の公式に発展します。
微分積分では多用されます。
式(1)、(2)を覚えていれば 2倍角、半角などは導き出せます。

\(sin(A \pm B)=sinAcosB \pm cosAsinB \) … (1)

\(cos(A \pm B)=cosAcosB \mp sinAsinB \) …(2)

\(tan(A \pm B)=\frac {tan A \pm tan B}{1 \mp tan A tan B} \)  …(3)

 \( 式(3)のヒント(tan(A+B)=\frac {sin(A+B)}{cos(A+B)} \frac {\div (cosAcosB)}{\div (cosAcosB)} )\)

分子 \(=\frac{sinA cosB + cosA sinB}{cosA cosB}\)\( = tanA+tanB\)

分母 \(=\frac{cosA cosB - sinA sinB}{cosA cosB}\)\( = 1-tanA tanB\)


4. 倍角・半角などの公式
加法定理から導出できる式です。
表し方がいろいろあります、応用するときに使い分けします。

\( sin 2A =2sinAcosA \) \(=\frac{2 tanA}{1+tan^2 A} \) (※1)
 \(\ ( sin(A+A)=sinAcosA+cosAsinA\) \( \ =2sinAcosA\ )\)
(※1) \(2sinAcosA=\frac{2sinA}{\frac{1}{cosA}}\) \(=\frac{2sinA}{\frac{sin^2A+cos^2A}{cosA}}\)

\(=\frac{2sinA}{\frac{cosA(sin^2A+cos^2A)}{cos^2A}}\) \(=\frac{2sinA}{cosA(1+tan^2A)}\)\(=\frac{2 tanA}{1+tan^2 A} \)
\( cos 2A =2 cos^2 A-1 = 1- 2sin^2A \) \(=\frac{1-tan^2A}{1+tan^2 A} \) (※2)
 \(\ ( cos(A+A)=cosAcosA-sinAsinA \) \( \ =cos^2A-sin^2A=2cos^2A-1\ ) \)
(※2) \(1-2sin^2=cos^2A+sin^2A-2sin^2A\)\(=cos^2A-sin^2A\)

\(= \frac{(cos^2A-sin^2A)}{cos^2A} \frac{cos^2A}{(sin^2A+cos^2A)}\) \(=\frac{1-tan^2A}{1+tan^2 A} \)

\(tan 2A=\frac{2 tan A}{1-tan^2A}\)

(\(tan(A+A)\) \(=\frac {tan A +tan A}{1 - tan A tan A} \) )

\( sin^2 \frac{A}{2} = \frac{1-cosA}{2} \)

\( cos^2 \frac{A}{2} = \frac{1+cosA}{2} \)

\( tan^2 \frac{A}{2} = \frac{1-cosA}{1+cosA} \)

\( sin 3A =3 sinA-4sin^3A \)

\( cos 3A =-3 cosA+4scos^3A \)


5. 「積→和」「和→積」 の式
上記の加法定理の式 (1)(2) から「積→和」の式が導出できます。
例えば、式(1)は以下の2つ式に分かれます。
・\(sin(A + B)=sinAcosB + cosAsinB \)
・\(sin(A - B)=sinAcosB - cosAsinB \)
この2つ式を縦型に足し算すると右辺は \(2sinAcosB\) 、また引き算すると \(2cosAcosB\) となり下記の①と②が求まります。

同様にして加法定理の式(2)は下の2式になり、これより下記の式③、④が導出できます。
・\(cos(A + B)=cosAcosB - sinAsinB \)
・\(cos(A - B)=cosAcosB + sinAsinB \)

\( sinAcosB=\frac{1}{2} \{sin(A+B)+sin(A-B)\} \) …①

\( cosAsinB=\frac{1}{2} \{sin(A+B)-sin(A-B)\} \) …②

\( cosAcosB=\frac{1}{2} \{cos(A+B)+cos(A-B)\} \) …③

\( sinAsinB=-\frac{1}{2} \{cos(A+B)-cos(A-B)\} \)…④

上記の「積→和」の式から「和➝積」が導出できます。
上式の A と B を \(A=\frac{α+β}{2}\) ,\(B=\frac{α-β}{2}\) にして、

左辺と右辺を入れ換えると下式が得られる。

\( sinα+sinβ=2sin \frac{α+β}{2} cos\frac{α-β}{2} \)

\( sinα-sinβ=2cos \frac{α+β}{2} sin\frac{α-β}{2} \)

\( cosα+cosβ=2cos \frac{α+β}{2} cos\frac{α-β}{2} \)

\( cosα-cosβ=-2sin \frac{α+β}{2} sin\frac{α-β}{2} \)


6. その他の公式

• \(sec\ x=\frac{1}{cos\ x} \quad\) \(cot\ x=\frac{1}{tan\ x} \quad\)

 \(cosec\ x= csc\ x=\frac{1}{sin\ x} \quad\)
\( sin^2\ x +cos^2\ x = 1 \)
直角三角形A B C とその対辺の長さを a b c とします。
a と b は直角、c は斜辺
\( a^2 + b^2 = c^2 \cdots \div c^2 \)
  
\( \frac{1}{cos^2x}=sec^2x\)\(=1+tan^2x\)
\( \frac{1}{cos^2x}=\frac{sin^2x+cos^2x}{cos^2x}\)

\( sin^2x+cos^2x=1 \cdots \div cos^2x \)

\( \frac{sin^2x}{cos^2x}+1=\frac{1}{cos^2x} \)


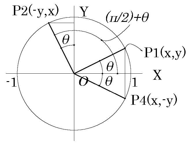
7. その他の性質
以下の式は下図の単位円を見れば理解できます。
(第1象限) 
\(sin(\frac{π}{2}-θ)=cosθ,\ cos(\frac{π}{2}-θ)=sinθ\) \(,\ tan(\frac{π}{2}-θ)=\frac{1}{tanθ} \)

(第2象限) 
\(sin(π-θ)=sinθ,\ \ cos(π-θ)=-cosθ\) \(,\ tan(π-θ)=-tanθ \)
\(sin(\frac{π}{2}+θ)=cosθ,\ cos(\frac{π}{2}+θ)=-sinθ\) \(,\ tan(\frac{π}{2}+θ)=-\frac{1}{tanθ} \)

(第3象限) 
\(sin(π+θ)=-sinθ,\ \ cos(π+θ)=-cosθ\) \(,\ tan(π+θ)=tanθ \)
\(sin(\frac{3π}{2}-θ)=-cosθ,\ cos(\frac{3π}{2}-θ)=-sinθ\) \(,\ tan(\frac{3π}{2}-θ)=\frac{1}{tanθ} \)

(第4象限) 
\(sin(-θ)=-sinθ,\ \ cos(-θ)=cosθ\) \( ,\ tan(-θ)=-tanθ \)
これより \(sinθ , tanθ\) は 奇関数、\(cosθ\) は偶関数であることがわかります。
(\(sin(2π-θ)=-sinθ,\ \ cos(2π-θ)=cosθ\) \( ,\ tan(2π-θ)=-tanθ \))

\(sin(\frac{3π}{2}+θ)=-cosθ,\ cos(\frac{3π}{2}+θ)=sinθ\) \(,\ tan(\frac{3π}{2}+θ)=-\frac{1}{tanθ} \)

triangle
triangle

 

8. 覚えるべき三角比
triangle
 代表的な三角比1
triangle   
 代表的な三角比2
 
上図の内容を是非、覚えて下さい。 覚え方は:
(底辺から反時計回りで、3辺の値を書くと)
45°:\(\color{red}{1→1}→\sqrt{2}\)
60°:\(\color{red}{1→\sqrt{3}}→2\)
2辺を覚えれば、斜辺は三平方の定理(ピタゴラスの定理)により思いだせる。

  次の角度での三角比/三角関数値は、数学以外でも、様々な場面で登場します。

\(sin45^{ \circ }=cos45^{ \circ }=\frac{1}{\sqrt{2}}\)\(\quad\) \(tan 45^{ \circ }=1\)
\(sin60^{ \circ }=\frac{\sqrt{3}}{2}\) \(\quad\) \(cos60^{ \circ }=\frac{1}{2}\) \(\quad\) \(tan60^{ \circ }=\frac{3}{1}\)
\(sin30^{ \circ }=\frac{1}{2}\) \(\quad\) \(cos30^{ \circ }=\frac{\sqrt{3}}{2}\) \(\quad\) \(tan30^{ \circ }=\frac{1}{\sqrt{3}}\)

上記は第一象限の値だから他の象限に適用すると次の例のように応用が広がる。

\(sin120^{ \circ }=sin(90^{ \circ }+30^{ \circ })\) \(=cos30^{ \circ }=\frac{\sqrt{3}}{2}\)
\(tan210^{ \circ }=tan(180^{ \circ }+30^{ \circ })\) \(=tan30^{ \circ }=\frac{1}{\sqrt{3}}\)


9. オイラーの公式から加法定理を導く
次のように、覚えやすい「オイラーの公式」を使い加法定理を容易に導くことができます。
\( e^{iθ}=cos\ θ+i\ sin\ θ\ \):オイラーの公式

\( e^{i(A+B)} = \underline {cos(A+B)}+\underline{i\ sin(A+B)} \)

\( e^{i(A+B)} = e^{iA} \cdot e^{iB} \)

\(= (cosA+i\ sinA)(cosB+i\ sinB) \)

\(= \underline{cosAcosB-sinAcosB}\)
\(\quad + \underline{i\ (sinAcosB+cosAsinB)} \)

実部と虚部を比較して次のとおり加法定理の式が求まります。

\( cos(A+B)=cosAcosB-sinAsinB \)

\( sin(A+B)=sinAcosB+cosAsinB \)

 

coffe

[コーヒーブレイク/閑話]…お疲れさまでした